Słowa kluczowe:Betadex Sulfobutyl Eter sodowy
Betadex Sulfobutyl Eter sodowyzrewolucjonizował technologię farmaceutycznych substancji pomocniczych. Ta wysoce rozpuszczalna w wodzie pochodna cyklodekstryny umożliwia tworzenie stabilnych kompleksów inkluzyjnych z aktywnymi składnikami farmaceutycznymi (API), umożliwiając formułowanie leków, które wcześniej były ograniczone słabą rozpuszczalnością i niestabilnością.
Dzięki znacznej poprawie rozpuszczalności, biodostępności i bezpieczeństwa leków do wstrzykiwań, Betadex Sulfobutyl Ether Sodium stał się kluczowym składnikiem nowoczesnych systemów dostarczania leków. Jego unikalna struktura molekularna pozwala hydrofobowym cząsteczkom leku stać się klinicznie użytecznymi dzięki skutecznej enkapsulacji molekularnej.
Słabo rozpuszczalne związki w dalszym ciągu stanowią wyzwanie dla systemów dostarczania leków. Tradycyjne strategie formułowania często nie zapewniają odpowiedniej rozpuszczalności i stabilności, co uniemożliwia dotarcie do pacjentów wielu obiecujących kandydatów na leki. Współczesne badania farmaceutyczne w coraz większym stopniu opierają się na zaawansowanych substancjach pomocniczych, aby pokonać te ograniczenia, zachowując jednocześnie bezpieczeństwo pacjenta.

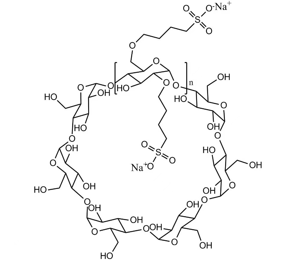
Cyklodekstryna z eterem sulfobutylowymjest anionową pochodną cyklodekstryny utworzoną przez wprowadzenie grup sulfobutylowych do szkieletu beta-cyklodekstryny. Ta modyfikacja strukturalna radykalnie zwiększa rozpuszczalność w wodzie w porównaniu z natywnymi cyklodekstrynami.
Substancja pomocnicza tworzy niekowalencyjne kompleksy inkluzyjne z cząsteczkami leku. Hydrofobowa wewnętrzna wnęka cyklodekstryny zawiera lipofilowe API, podczas gdy hydrofilowa powierzchnia zewnętrzna utrzymuje rozpuszczalność w wodzie. To kapsułkowanie poprawia farmakokinetykę i chroni wrażliwe związki przed degradacją chemiczną.
Stopień podstawienia ma bezpośredni wpływ na skuteczność solubilizacji. Wyższe poziomy podstawienia poprawiają rozpuszczalność, ale optymalne działanie wymaga zrównoważenia siły rozpuszczania z bezpieczeństwem.
Badania naukowe wykazują, że Betadex Sulfobutyl Ether Sodium wykazuje niższą aktywność hemolityczną i zmniejszoną akumulację w nerkach w porównaniu z wieloma konwencjonalnymi środkami solubilizującymi, dzięki czemu nadaje się do wielokrotnego podawania pozajelitowego.
Wiele środków przeciwgrzybiczych ma słabą rozpuszczalność w wodzie, co ogranicza ich stosowanie w postaci zastrzyków. Betadex Sulfobutyl Ether Sodium tworzy stabilne kompleksy z lekami takimi jak worykonazol i pozakonazol, umożliwiając skuteczne preparaty do wstrzykiwań.
Poza poprawą rozpuszczalności, kompleksowanie zwiększa tolerancję pH i stabilność podczas przechowywania, wydłużając okres przydatności do spożycia i poprawiając wyniki terapeutyczne w przypadku inwazyjnych infekcji grzybiczych.
Leki przeciwwirusowe często napotykają bariery rozpuszczalności, które ograniczają dostarczanie pozajelitowe. Cyklodekstryna eteru sulfobutylowego umożliwia tworzenie stabilnych preparatów do wstrzykiwań, chroniąc API przed degradacją i umożliwiając kontrolowane uwalnianie.
Sukces preparatów remdesiwiru podkreśla znaczenie solubilizacji na bazie cyklodekstryny w leczeniu ciężkich infekcji wirusowych, w których szybkie i niezawodne dostarczanie leku ma kluczowe znaczenie.
Wiele środków przeciwnowotworowych wykazuje słabą rozpuszczalność w wodzie, co utrudnia rozwój kliniczny. Betadex Sulfobutyl Ether Sodium umożliwia formułowanie tych silnych związków przy jednoczesnym zachowaniu korzystnego profilu bezpieczeństwa.
Jego niska akumulacja w tkankach i zmniejszona toksyczność są szczególnie cenne w terapiach onkologicznych wymagających wielokrotnego dawkowania, umożliwiając wyższą ekspozycję terapeutyczną przy lepszej tolerancji.
Opieka kardiologiczna w nagłych przypadkach często opiera się na szybko działających lekach do wstrzykiwań. Ta substancja pomocnicza umożliwia stabilne formułowanie słabo rozpuszczalnych środków kardioaktywnych.
Niska aktywność hemolityczna Betadex Sulfobutyl Ether Sodium sprawia, że jest on szczególnie odpowiedni dla pacjentów z upośledzoną czynnością serca, którzy nie tolerują stresu hemolitycznego.
Pacjenci pediatryczni i geriatryczni często stają przed wyzwaniami związanymi z doustnymi postaciami dawkowania. Preparaty do wstrzykiwania i płynne zawierające cyklodekstrynę z eterem sulfobutylowym zapewniają niezawodne dostarczanie leku w różnych grupach wiekowych.
Kapsułkowanie molekularne maskuje również nieprzyjemny smak, poprawiając przestrzeganie zaleceń przez pacjenta, szczególnie w przypadku preparatów pediatrycznych.
W terapiach chorób rzadkich często wykorzystuje się API o złożonych właściwościach fizykochemicznych. Betadex Sulfobutyl Ether Sodium pomaga przezwyciężyć problemy związane z rozpuszczalnością bez konieczności intensywnej przebudowy substancji pomocniczych.
Ugruntowany profil bezpieczeństwa i skalowalna produkcja zmniejszają ryzyko regulacyjne i rozwojowe, przyspieszając komercjalizację leków sierocych.
Kapsułkowanie cyklodekstryny chroni API przed hydrolizą, utlenianiem i fotodegradacją poprzez fizyczne osłanianie grup reaktywnych.
To zwiększenie stabilności wspiera globalną dystrybucję, zwłaszcza w regionach o ograniczonej infrastrukturze łańcucha chłodniczego.
Xi'an Deli Biochemical Industry Co., Ltd. wnosi ponad 26-letnie doświadczenie w produkcji cyklodekstryn. Każda partia jest rygorystycznie testowana pod kątem stopnia podstawienia, zanieczyszczeń i endotoksyn.
Dzięki rocznej zdolności produkcyjnej przekraczającej 200 ton metrycznych Betadex Sulfobutyl Ether Sodium, nasze zakłady zapewniają stabilne, długoterminowe dostawy do zastosowań klinicznych i komercyjnych.
Zwalidowane procesy produkcyjne minimalizują zmienność poszczególnych partii, umożliwiając klientom farmaceutycznym projektowanie solidnych i powtarzalnych receptur.

Nasze produkty spełniają główne wymagania farmakopealne, zapewniając producentom farmaceutycznym stałą jakość i pewność przepisów na rynkach światowych.
Rosnąca literatura naukowa i zezwolenia organów regulacyjnych w dalszym ciągu wspierają szersze zastosowanie Betadex Sulfobutyl Ether Sodium w zaawansowanych systemach dostarczania leków.
Optymalizacja kinetyki tworzenia kompleksu i termodynamiki jest niezbędna do osiągnięcia pożądanego zwiększenia rozpuszczalności i profili uwalniania leku.
Kompleksy inkluzyjne mogą wymagać dostosowanych metod analitycznych w celu dokładnego określenia ilościowego API. Sprawdzone, specyficzne techniki analityczne mają kluczowe znaczenie.
Badania zgodności zapewniają długoterminową stabilność preparatu w przypadku jednoczesnego stosowania wielu substancji pomocniczych.
Terapia genowa, terapia komórkowa i medycyna spersonalizowana to obiecujące obszary technologii dostarczania opartych na cyklodekstrynach.
Pochodne cyklodekstryny umożliwiają stosowanie kombinacji stałych dawek o kontrolowanym uwalnianiu i zwiększonej stabilności.
Systemy hybrydowe łączące cyklodekstryny z nanocząsteczkami otwierają nowe granice w ukierunkowanym dostarczaniu leków.
W miarę postępu rozwoju farmaceutycznego, Betadex Sulfobutyl Ether Sodium w dalszym ciągu stawia czoła złożonym wyzwaniom związanym z formułowaniem, zachowując jednocześnie doskonały profil bezpieczeństwa. Jego wszechstronność w obszarach terapeutycznych czyni go niezbędną substancją pomocniczą w systemach dostarczania leków nowej generacji.
P: Co sprawia, żecyklodekstryna, eter sulfobutylowylepszy od innych środków solubilizujących?
Odp.: Zapewnia niższą toksyczność, zmniejszoną hemolizę, odwracalne tworzenie kompleksów i lepszą stabilność leku w porównaniu z rozpuszczalnikami organicznymi i środkami powierzchniowo czynnymi.
P: Jak stopień substytucji wpływa na wydajność?
Odp.: Wyższe podstawienie poprawia rozpuszczalność, ale optymalne działanie wymaga zrównoważenia wydajności solubilizacji i bezpieczeństwa.
P: Czy można go stosować w preparatach doustnych?
Odp.: Tak, chociaż jest przeznaczony głównie do wstrzykiwań, może zwiększać rozpuszczalność w preparatach doustnych, jeśli jest to uzasadnione korzyścią terapeutyczną.
Betadex Sulfobutyl Eter sodowyz Xi'an Deli Biochemical Industry Co., Ltd. zapewnia bezpieczne, stabilne i skalowalne rozwiązanie w zakresie zaawansowanych preparatów leków do wstrzykiwań. Skontaktuj się z nami pod adresemxadl@xadl.comaby dowiedzieć się więcej.