Wiadomości branżowe

Roztwory na bazie cyklodekstryny zwiększające rozpuszczalność i stabilność

2025-12-23 - Zostaw mi wiadomość

Roztwory na bazie cyklodekstryny zwiększające rozpuszczalność i stabilność

Przegląd techniczny hydroksypropylu Betadexu i Betadexu eteru sulfobutylowego

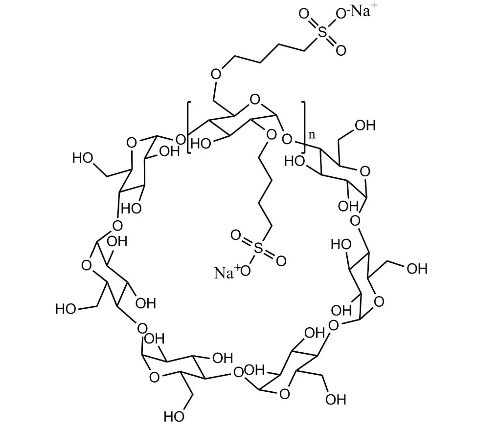
Cyklodekstryny są powszechnie uznawane za ich zdolność do poprawiania rozpuszczalności i stabilności słabo rozpuszczalnych lub wrażliwych chemicznie związków. Ze względu na swoją unikalną cykliczną strukturę molekularną cyklodekstryny i ich pochodne stały się ważnymi funkcjonalnymi substancjami pomocniczymi w dziedzinach farmaceutycznych, chemicznych i pokrewnych. W odpowiedzi na rosnące wymagania techniczne i regulacyjne firma Xi’an Deli Biochemical udoskonaliła dokumentację techniczną i wsparcie produktu dla swoich kluczowych pochodnych cyklodekstryny:betadeks hydroksypropylowy (HPBCD) i eter sodowy betadeksulfobutylu (SBECD).


Charakterystyka strukturalna i działanie funkcjonalne cyklodekstryn

Cyklodekstryny to cykliczne oligosacharydy złożone z jednostek glukozy połączonych wiązaniami α-1,4-glikozydowymi. Ich architektura molekularna charakteryzuje się hydrofilową powierzchnią zewnętrzną i stosunkowo hydrofobową wnęką wewnętrzną, umożliwiając tworzenie kompleksów inkluzyjnych z szeroką gamą cząsteczek gości. Chemiczna modyfikacja struktury cyklodekstryny może znacząco poprawić rozpuszczalność w wodzie i poszerzyć wszechstronność zastosowań.


Hydroksypropyl Betadex (HPBCD)


Hydroksypropylobetadeks jest chemicznie modyfikowaną β-cyklodekstryną zaprojektowaną w celu przezwyciężenia ograniczonej rozpuszczalności natywnych cyklodekstryn. Jego zwiększona rozpuszczalność w wodzie i korzystna kompatybilność sprawiają, że HPBCD nadaje się do zastosowań wymagających skutecznej solubilizacji, stabilizacji i elastyczności formułowania w różnych systemach.


Eter sodowy betadexu sulfobutylowego (SBECD)


Betadex sulfobutyloeter sodowy jest anionową pochodną cyklodekstryny charakteryzującą się podstawnikami w postaci eteru sulfobutylowego. Struktura ta wzmacnia oddziaływania elektrostatyczne z określonymi związkami, zapewniając lepszą rozpuszczalność, kompleksową stabilność i odporność preparatu w bardziej wymagających zastosowaniach.

Standaryzowane informacje o produktach i pomoc techniczna

Aby lepiej wspierać rozwój receptur, ocenę jakości i procesy zaopatrzenia, firma Xi’an Deli Biochemical systematycznie aktualizuje informacje o produktach dla HPBCD i SBECD, w tym:


  • Jasno określone i ustandaryzowane specyfikacje produktów i parametry analityczne
  • Certyfikaty analizy (COA) specyficzne dla partii, zapewniające identyfikowalność i weryfikację jakości
  • Rozszerzone często zadawane pytania techniczne dotyczące obsługi, przechowywania i typowych zastosowań
  • Zoptymalizowane podsumowania produktów zaprojektowane w celu ułatwienia skutecznego przeglądu technicznego i wyboru


Te ulepszenia mają na celu zwiększenie przejrzystości, skrócenie czasu oceny i wsparcie spójnej wydajności produktu w całym cyklu dostaw.


Doświadczenie produkcyjne i gwarancja jakości

Założona w 1999 roku firma Xi’an Deli Biochemical wnosi 26 lat doświadczenia w produkcji pochodnych cyklodekstryny. Firma koncentruje się na kontrolowanej produkcji hydroksypropylobetaksu i betadeksu eteru sulfobutylowego sodu, kładąc nacisk na spójność procesu, niezawodność każdej partii i długoterminową stabilność dostaw. Ustrukturyzowane praktyki zarządzania jakością wspierają wymagania techniczne, regulacyjne i dotyczące zaopatrzenia klientów.


Zakres zastosowań i współpraca techniczna

W oparciu o mechanizmy włączania i stabilizacji cyklodekstryny, HPBCD i SBECD mają zastosowanie w wielu dziedzinach techniki, w tym w preparatach farmaceutycznych, specjalistycznych chemikaliach, produktach weterynaryjnych i innych systemach wymagających zwiększonej rozpuszczalności i stabilności. Xi’an Deli Biochemical w dalszym ciągu współpracuje z partnerami poprzez komunikację skupioną na zastosowaniach i współpracę techniczną, aby wspierać zmieniające się potrzeby w zakresie formułowania.


Informacje o firmach z branży biochemicznej Xi’an Deli

Założona w 1999 roku firma Xi’an Deli Biochemical Industry Companies jest wyspecjalizowanym producentem pochodnych cyklodekstryny, dostarczającym hydroksypropylobetadeks (HPBCD) i eter sodowy betadeksulfobutylu (SBECD) klientom na całym świecie. Koncentrując się od dawna na spójności produktów, jasnych specyfikacjach i praktycznym wsparciu technicznym, firma nadal angażuje się w dostarczanie niezawodnych rozwiązań na bazie cyklodekstryny.


Jeśli chcesz, mogę również:


  • Dalsza optymalizacja pod kątem SEO Google (bez zmniejszania tonu technicznego)
  • Skondensuj go w wersji „Aktualizacja techniczna” strony produktu
  • Dostosuj go dla klientów dbających o regulacje / jakość


Powiedz mi tylko, gdzie planujesz to opublikować.


Wyślij zapytanie


icon
X
Używamy plików cookie, aby zapewnić lepszą jakość przeglądania, analizować ruch w witrynie i personalizować zawartość. Korzystając z tej witryny, wyrażasz zgodę na używanie przez nas plików cookie. Polityka prywatności
Odrzucić Przyjąć